Kontrol Kebun Bawang
Membantu para petani bawang dalam berkebun
Memudahkan para petani bawang dalam menanam bibit hingga proses panen dan packing
ALAT DAN BAHAN[KEMBALI]
Sensor Infrared
- *Sensitivitas dapat diatur (pengaturan manual pada potensiometer)
- *Condeser yang digunakan memiliki sensitivitas yang tinggi
- *Tegangan kerja antara 3.3V – 5V
- *Terdapat 2 pin keluaran yaitu tegangan analog dan Digital output
- *Sudah terdapat lubang baut untuk instalasi
- *Sudah terdapat indikator led
Sensor Soil Moisture
- Operating Voltage: 3.3V to 5V DC
- Operating Current: 15mA
- Output Digital - 0V to 5V, Adjustable trigger level from preset
- Output Analog - 0V to 5V based on infrared radiation from fire flame falling on the sensor
- LEDs indicating output and power
- PCB Size: 3.2cm x 1.4cm
- LM393 based design
- Easy to use with Microcontrollers or even with normal Digital/Analog IC
- Small, cheap and easily available
Pin Name | Description |
VCC |
The Vcc pin powers the module, typically with +5V |
GND | Power Supply Ground |
DO | Digital Out Pin for Digital Output. |
AO | Analog Out Pin for Analog Output |
Spesifikasi :
- * Operating voltage 2.0V~5.5V
- * Operating current @VDD=3V, no load
- * At low power mode typical 1.5uA, maximum 3.0uA
- * The response time max 220mS at low power mode @VDD=3V
- * Sensitivity can adjust by the capacitance(0~50pF) outside
- * Stable touching detection of human body for replacing traditional direct switch key
- * Provides Low Power mode
- * Provides direct mode、toggle mode by pad option(TOG pin) Q pin is CMOS output
- * All output modes can be selected active high or active low by pad option(AHLB pin)
- * After power-on have about 0.5sec stable-time, during the time do not touch the key pad, and the function is disabled
- * Auto calibration for life at low power mode the re-calibration period is about 4.0sec normally, when key detected touch and released touch, the auto re-calibration will be redoing after about 16sec from releasing key
- * The sensitivity of TTP223N-BA6 is better than TTP223-BA6’s. but the stability of TTP223N-BA6 is worse than TTP223-BA6’s.
Konfigurasi Pin :
- * Pin 1 : Vcc
- * Pin 2 : Gnd
- * Pin 3 : Vout
Grafik Respon
. Spesifikasi :- * Excellent responsivity which peaks in the humanluminosity curveClose responsivity to the human eye
- * Miniature chipLED lead-free surface-mount packageHeight – 0.80 mmWidth – 2.00 mmDepth – 1.25 mm
- * Good output linearity across wide illumination range
- * Low sensitivity variation across various light sources
- * Guaranteed temperature performance-40°C to 85°C
- * VCC supply 2.4 to 5.5 V
- * Lead-free packageApplications
- * Detection of ambient light to control display back lighting Mobile devices – mobile phones, PDAsComputing devices – notebooks, webpadsConsumer devices – TVs, video cameras, digital still cameras
- * Automatic residential and commercial lightingmanagement•Electronic signs and signals
- * Daylight and artificial light exposed devices
- * Pin 1 : IOUT
- * Pin 2 : VCC
- * Pin 3 : VCC
- Operating voltage ranges from 3.3 to 5V
- The operating current is 15 mA
- The sensing pad size is 5cm x 4 cm with a nickel plate on one face.
- Comparator chip is LM393
- Output types are AO (Analog o/p voltage) & DO (Digital switching voltage)
- The length & width of PCB module 3.2cm x 1.4cm
- Sensitivity is modifiable through Trimpot
- Red/Green LED lights indicators for Power & Output
Decoder 7447
IC BCD 7447 merupakan IC yang bertujuan mengubah data BCD (Binary Coded Decimal) menjadi suatu data keluaran untuk seven segment. IC 7447 yang bekerja pada tegangan 5V ini khusus untuk menyalakan seven segment dengan konfigurasi common anode. Sedangkan untuk menyalakan tampilan seven segment yang bekerja pada konfigurasi common cathode menggunakan IC BCD 7448.
IC ini sangat membantu untuk meringkas masukan seven segmen dengan jumlah 7 pin, sedangkan jika menggunakan BCD cukup dengan 4 bit masukan. IC BCD bisa juga disebut dengan driver seven segment. Berikut konfigurasi Pin IC 7447.
Konfigurasi Pin Decoder:
a. Pin Input IC BCD, memiliki fungsi sebagai masukan IC BCD yang terdiri dari 4 Pin, nama pin masukan BCD dilangkan dengan huruf kapital yaitu A, B, C dan D. Pin input berkeja dengan logika High=1.
b. Pin Ouput IC BCD, memiliki fungsi untuk mengaktifkan seven segmen sesuai data yang diolah dari pin input. Pin output berjumlah 7 pin yang namanya dilambangkan dengan aljabar huruf kecil yaitu, b, c, d, e, f dan g. Pin Output bekerja dengan logika low=0. Karena itulah IC 7447 digunakan untuk seven segment common anode.
c. Pin LT (Lamp Test) memiliki fungsi untuk mengaktifkan semua output menjadi aktif low, sehingga semua led pada seven segmen menyala dan menampilkan angka 8. Pin LT akan aktif jika diberi logika low. Pin ini juga digunakan untuk mengetes kondisi LED pada seven segment.
d. Pin RBI (Ripple Blanking Input) memiliki fungsi untuk menahan data input (disable input), pin RBI akan aktif jika diberi logika low. Sehingga seluruh pin output akan berlogika High, dan seven segment tidak aktif.
e. Pin RBO (Ripple blanking Output) memiliki fungsi untuk menahan data output (disable output), pin RBO ini akan aktif jika diberikan logika Low. Sehingga seluruh pin output akan berlogika High, dan seven segment tidak aktif.
Pada aplikasi IC dekoder 7447, ketiga pin (LT, RBI dan RBO) harus diberi logika HIGH=1 agar tidak aktif. Baik IC 7447 atau 7448 pada bagian output perlu dipasang resistor untuk membatasi arus yang keluar sehingga led pada seven segment bekerja secara optimal. Berikut ini rangkaian IC dekoder 7448 untuk konfigurasi seven segment common cathode.
Resistor
| Specifications | |
| Resistance (Ohms) | 10K, 500K |
| Power (Watts) | 0.25W, 1/4W |
| Tolerance | ±5% |
| Packaging | Bulk |
| Composition | Carbon Film |
| Temperature Coefficient | 350ppm/°C |
| Lead Free Status | Lead Free |
| RoHS Status | RoHS Compliant |
Data sheet resistor:
Kapasitor
Op-amp
- Ini terdiri dari dua op-amp internal dan frekuensi dikompensasi untuk gain kesatuan
- Gain tegangan besar adalah 100 dB
- Lebar pita lebar adalah 1MHz
- Jangkauan pasokan listrik yang luas termasuk pasokan listrik tunggal dan ganda
- Rentang catu daya tunggal adalah dari 3V ke 32V
- Jangkauan pasokan listrik ganda adalah dari + atau -1.5V ke + atau -16V
- Penyaluran arus pasokan sangat rendah, yaitu 500 μA
- 2mV tegangan rendah i / p offset
- Mode umum rentang tegangan i / p terdiri dari ground
- Tegangan catu daya dan diferensial i / p tegangan serupa ayunan tegangan o / p besar
Induktor
Relay
Struktur: Sealed type
Sensitivitas coil: 0.36W
Tahanan coil: 60-70 ohm
Kapasitas contact: 10A/250VAC, 10A/125VAC, 10A/30VDC, 10A/28VDC
Ukuran: 196154155 mm
Transistor
Potensiometer
- Type: Rotary a.k.a Radio POT
- Available in different resistance values like 500Ω, 1K, 2K, 5K, 10K, 22K, 47K, 50K, 100K, 220K, 470K, 500K, 1 M.
- Power Rating: 0.3W
- Maximum Input Voltage: 200Vdc
- Rotational Life: 2000K cycles
Diode
![]() | |
| Gambar : bentuk dioda |
1 Anoda Arus selalu Masuk melalui Anoda
2 Katoda Arus selalu Keluar melalui Katoda
Led
A. Spesifikasi :
- Superior weather resistance
- 5mm Round Standard Directivity
- UV Resistant Eproxy
- Forward Current (IF): 30mA
- Forward Voltage (VF): 1.8V to 2.4V
- Reverse Voltage: 5V
- Operating Temperature: -30℃ to +85℃
- Storage Temperature: -40℃ to +100℃
- Luminous Intensity: 20mcd
B. Konfigurasi Pin :
- Pin 1 : Positive terminal of LED
- Pin 2 : Negative terminal of LED
Motor dc
No: | Pin Name | Description |
1 | Terminal 1 | A normal DC motor would have only two terminals. Since these terminals are connected together only through a coil they have not polarity. Revering the connection will only reverse the direction of the motor |
2 | Terminal 2 |
B. DC Motor Specifications
- Standard 130 Type DC motor
- Operating Voltage: 4.5V to 9V
- Recommended/Rated Voltage: 6V
- Current at No load: 70mA (max)
- No-load Speed: 9000 rpm
- Loaded current: 250mA (approx)
- Rated Load: 10g*cm
- Motor Size: 27.5mm x 20mm x 15mm
- Weight: 17 grams
Buzzer
Buzzer Features and Specifications
- Rated Voltage: 6V DC
- Operating Voltage: 4-8V DC
- Rated current: <30mA
- Sound Type: Continuous Beep
- Resonant Frequency: ~2300 Hz
- Small and neat sealed package
- Breadboard and Perf board friendly
battery

Sensor Soil Moisture
Sensor Touch
Sensor UV
Sensor Rain

Sensor infrared
Grafik menunjukkan hubungan antara resistansi dan jarak potensial untuk sensitivitas rentang antara pemancar dan penerima inframerah. Resistor yang digunakan pada sensor mempengaruhi intensitas cahaya inframerah keluar dari pemancar. Semakin tinggi resistansi yang digunakan, semakin pendek jarak IR Receiver yang mampu mendeteksi sinar IR yang dipancarkan dari IR Transmitter karena intensitas cahaya yang lebih rendah dari IR Transmitter. Sementara semakin rendah resistansi yang digunakan, semakin jauh jarak IR Receiver mampu mendeteksi sinar IR yang dipancarkan dari IR Transmitter karena intensitas cahaya yang lebih tinggi dari IR Transmitter.
Encoder
Demultiplexer
Resistor
Resistor merupakan komponen elektronika dasar yang digunakan untuk membatasi jumlah arus yang mengalir dalam satu rangkaian.Sesuai dengan namanya, resistor bersifat resistif dan umumnya terbuat dari bahan karbon. Resistor memiliki simbol seperti gambar dibawah ini :
Resistor mempunyai nilai resistansi (tahanan) tertentu yang dapat memproduksi tegangan listrik di antara kedua pin dimana nilai tegangan terhadap resistansi tersebut berbanding lurus dengan arus yang mengalir, berdasarkan persamaan Hukum OHM :
Seri : Rtotal = R1 + R2 + R3 + ….. + Rn
Dimana :
Rtotal = Total Nilai Resistor
R1 = Resistor ke-1
R2 = Resistor ke-2
R3 = Resistor ke-3
Rn = Resistor ke-n
Paralel: 1/Rtotal = 1/R1 + 1/R2 + 1/R3 + ….. + 1/Rn
Dimana :
Rtotal = Total Nilai Resistor
R1 = Resistor ke-1
R2 = Resistor ke-2
R3 = Resistor ke-3
Rn = Resistor ke-n
Kapasitor
Op-amp
Simbol
Karakteristik IC OpAmp
- Penguatan Tegangan Open-loop atau Av = ∞ (tak terhingga)
- Tegangan Offset Keluaran (Output Offset Voltage) atau Voo = 0 (nol)
- Impedansi Masukan (Input Impedance) atau Zin= ∞ (tak terhingga)
- Impedansi Output (Output Impedance ) atau Zout = 0 (nol)
- Lebar Pita (Bandwidth) atau BW = ∞ (tak terhingga)
- Karakteristik tidak berubah dengan suhu
Karakteristik IC OpAmp
- Penguatan Tegangan Open-loop atau Av = ∞ (tak terhingga)
- Tegangan Offset Keluaran (Output Offset Voltage) atau Voo = 0 (nol)
- Impedansi Masukan (Input Impedance) atau Zin= ∞ (tak terhingga)
- Impedansi Output (Output Impedance ) atau Zout = 0 (nol)
- Lebar Pita (Bandwidth) atau BW = ∞ (tak terhingga)
- Karakteristik tidak berubah dengan suhu
Inverting Amplifier
Rumus:
NonInverting
Rumus:
Komparator
Rumus:
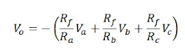
Adder
Rumus:
Bentuk Gelombang
Decoder (IC 7447)
IC BCD 7447 merupakan IC yang bertujuan mengubah data BCD (Binary Coded Decimal) menjadi suatu data keluaran untuk seven segment. IC 7447 yang bekerja pada tegangan 5V ini khusus untuk menyalakan seven segment dengan konfigurasi common anode. Sedangkan untuk menyalakan tampilan seven segment yang bekerja pada konfigurasi common cathode menggunakan IC BCD 7448.
IC ini sangat membantu untuk meringkas masukan seven segmen dengan jumlah 7 pin, sedangkan jika menggunakan BCD cukup dengan 4 bit masukan. IC BCD bisa juga disebut dengan driver seven segment. Berikut konfigurasi Pin IC 7447.
Konfigurasi Pin Decoder:
a. Pin Input IC BCD, memiliki fungsi sebagai masukan IC BCD yang terdiri dari 4 Pin, nama pin masukan BCD dilangkan dengan huruf kapital yaitu A, B, C dan D. Pin input berkeja dengan logika High=1.
b. Pin Ouput IC BCD, memiliki fungsi untuk mengaktifkan seven segmen sesuai data yang diolah dari pin input. Pin output berjumlah 7 pin yang namanya dilambangkan dengan aljabar huruf kecil yaitu, b, c, d, e, f dan g. Pin Output bekerja dengan logika low=0. Karena itulah IC 7447 digunakan untuk seven segment common anode.
c. Pin LT (Lamp Test) memiliki fungsi untuk mengaktifkan semua output menjadi aktif low, sehingga semua led pada seven segmen menyala dan menampilkan angka 8. Pin LT akan aktif jika diberi logika low. Pin ini juga digunakan untuk mengetes kondisi LED pada seven segment.
d. Pin RBI (Ripple Blanking Input) memiliki fungsi untuk menahan data input (disable input), pin RBI akan aktif jika diberi logika low. Sehingga seluruh pin output akan berlogika High, dan seven segment tidak aktif.
e. Pin RBO (Ripple blanking Output) memiliki fungsi untuk menahan data output (disable output), pin RBO ini akan aktif jika diberikan logika Low. Sehingga seluruh pin output akan berlogika High, dan seven segment tidak aktif.
Pada aplikasi IC dekoder 7447, ketiga pin (LT, RBI dan RBO) harus diberi logika HIGH=1 agar tidak aktif. Baik IC 7447 atau 7448 pada bagian output perlu dipasang resistor untuk membatasi arus yang keluar sehingga led pada seven segment bekerja secara optimal. Berikut ini rangkaian IC dekoder 7448 untuk konfigurasi seven segment common cathode.
Induktor
Relay
- Apabila coil diberikan arus listrik, maka akan timbul gaya elektromagnetik yang dapat menarik armature untuk merubah switch contact point.
- Apabila coil tersebut sudah tidak dialiri arus listrik, maka Armature akan kembali lagi ke posisi Normally Close.
- Umumnya, coil yang digunakan oleh relay untuk mengubah switch contact point ke posisi NC hanya membutuhkan arus listrik yang kecil.
Transistor
Rumus dari Transitor adalah :
hFE = iC/iB
dimana, iC = perubahan arus kolektor
iB = perubahan arus basis
hFE = arus yang dicapai
Karakteristik Input
Transistor adalah komponen aktif yang menggunakan aliran electron sebagai prinsip kerjanya didalam bahan. Sebuah transistor memiliki tiga daerah doped yaitu daerah emitter, daerah basis dan daerah disebut kolektor. Transistor ada dua jenis yaitu NPN dan PNP. Transistor memiliki dua sambungan: satu antara emitter dan basis, dan yang lain antara kolektor dan basis. Karena itu, sebuah transistor seperti dua buah dioda yang saling bertolak belakang yaitu dioda emitter-basis, atau disingkat dengan emitter dioda dan dioda kolektor-basis, atau disingkat dengan dioda kolektor.
Bagian emitter-basis dari transistor merupakan dioda, maka apabila dioda emitter-basis dibias maju maka kita mengharapkan akan melihat grafik arus terhadap tegangan dioda biasa. Saat tegangan dioda emitter-basis lebih kecil dari potensial barriernya, maka arus basis (Ib) akan kecil. Ketika tegangan dioda melebihi potensial barriernya, arus basis (Ib) akan naik secara cepat.
Karakteristik Output
Sebuah transistor memiliki empat daerah operasi yang berbeda yaitu daerah aktif, daerah saturasi, daerah cutoff, dan daerah breakdown. Jika transistor digunakan sebagai penguat, transistor bekerja pada daerah aktif. Jika transistor digunakan pada rangkaian digital, transistor biasanya beroperasi pada daerah saturasi dan cutoff. Daerah breakdown biasanya dihindari karena resiko transistor menjadi hancur terlalu besar.
Gelombang I/O Transistor
Bagian emitter-basis dari transistor merupakan dioda, maka apabila dioda emitter-basis dibias maju maka kita mengharapkan akan melihat grafik arus terhadap tegangan dioda biasa. Saat tegangan dioda emitter-basis lebih kecil dari potensial barriernya, maka arus basis (Ib) akan kecil. Ketika tegangan dioda melebihi potensial barriernya, arus basis (Ib) akan naik secara cepat.
Sebuah transistor memiliki empat daerah operasi yang berbeda yaitu daerah aktif, daerah saturasi, daerah cutoff, dan daerah breakdown. Jika transistor digunakan sebagai penguat, transistor bekerja pada daerah aktif. Jika transistor digunakan pada rangkaian digital, transistor biasanya beroperasi pada daerah saturasi dan cutoff. Daerah breakdown biasanya dihindari karena resiko transistor menjadi hancur terlalu besar.

Diode
Cara Kerja Dioda
Secara sederhana, cara kerja dioda dapat dijelaskan dalam tiga kondisi, yaitu kondisi tanpa tegangan (unbiased), diberikan tegangan positif (forward biased), dan tegangan negatif (reverse biased).
A. Kondisi tanpa tegangan
Pada kondisi tidak diberikan tegangan akan terbentuk suatu perbatasan medan listrik pada daerah P-N junction. Hal ini terjadi diawali dengan proses difusi, yaitu bergeraknya muatan elektro dari sisi n ke sisi p. Elektron-elektron tersebut akan menempati suatu tempat di sisi p yang disebut dengan holes. Pergerakan elektron-elektron tersebut akan meninggalkan ion positif di sisi n, dan holes yang terisi dengan elektron akan menimbulkan ion negatif di sisi p. Ion-ion tidak bergerak ini akan membentuk medan listrik statis yang menjadi penghalang pergerakan elektron pada dioda.

Pada kondisi ini, bagian anoda disambungkan dengan terminal positif sumber listrik dan bagian katoda disambungkan dengan terminal negatif. Adanya tegangan eksternal akan mengakibatkan ion-ion yang menjadi penghalang aliran listrik menjadi tertarik ke masing-masing kutub. Ion-ion negatif akan tertarik ke sisi anoda yang positif, dan ion-ion positif akan tertarik ke sisi katoda yang negatif. Hilangnya penghalang-penghalang tersebut akan memungkinkan pergerakan elektron di dalam dioda, sehingga arus listrik dapat mengalir seperti pada rangkaian tertutup.

C. Kondisi tegangan negatif (Reverse-bias)
Pada kondisi ini, bagian anoda disambungkan dengan terminal negatif sumber listrik dan bagian katoda disambungkan dengan terminal positif. Adanya tegangan eksternal akan mengakibatkan ion-ion yang menjadi penghalang aliran listrik menjadi tertarik ke masing-masing kutub. Pemberian tegangan negatif akan membuat ion-ion negatif tertarik ke sisi katoda (n-type) yang diberi tegangan positif, dan ion-ion positif tertarik ke sisi anoda (p-type) yang diberi tegangan negatif. Pergerakan ion-ion tersebut searah dengan medan listrik statis yang menghalangi pergerakan elektron, sehingga penghalang tersebut akan semakin tebal oleh ion-ion. Akibatnya, listrik tidak dapat mengalir melalui dioda dan rangkaian diibaratkan menjadi rangkaian terbuka.

- 7 Segment Anoda
Seven segment merupakan bagian-bagian yang digunakan untuk menampilkan angka atau bilangan decimal. Seven segment tersebut terbagi menjadi 7 batang LED yang disusun membentuk angka 8 dengan menggunakan huruf a-f yang disebut DOT MATRIKS. Setiap segment ini terdiri dari 1 atau 2 LED (Light Emitting Dioda). Seven segment bisa menunjukan angka-angka desimal serta beberapa bentuk tertentu melalui gabungan aktif atau tidaknya LED penyususnan dalam seven segment.
Supaya memudahkan penggunaannnya biasanya memakai sebuah sebuah seven segment driver yang akan mengatur aktif atau tidaknya led-led dalam seven segment sesuai dengan inputan biner yang diberikan. Bentuk tampilan modern disusun sebagai metode 7 bagian atau dot matriks. Jenis tersebut sama dengan namanya, menggunakan sistem tujuh batang led yang dilapis membentuk angka 8 seperti yang ditunjukkan pada gambar di atas. Huruf yang dilihatkan dalam gambar itu ditetapkan untuk menandai bagian-bagian tersebut.
Dengan menyalakan beberapa segmen yang sesuai, akan dapat diperagakan digit-digit dari 0 sampai 9, dan juga bentuk huruf A sampai F (dimodifikasi). Sinyal input dari switches tidak dapat langsung dikirimkan ke peraga 7 bagian, sehingga harus menggunakan decoder BCD (Binary Code Decimal) ke 7 segmen sebagai antar muka. Decoder tersebut terbentuk dari pintu-pintu akal yang masukannya berbetuk digit BCD dan keluarannya berupa saluran-saluran untuk mengemudikan tampilan 7 segmen.
Tabel Pengaktifan Seven Segment Display
- Light Emitting Code (LED)
Light Emitting Diode atau sering disingkat dengan LED adalah komponen elektronika yang dapat memancarkan cahaya monokromatik ketika diberikan tegangan maju. LED merupakan keluarga Dioda yang terbuat dari bahan semikonduktor. Warna-warna Cahaya yang dipancarkan oleh LED tergantung pada jenis bahan semikonduktor yang dipergunakannya. LED juga dapat memancarkan sinar inframerah yang tidak tampak oleh mata seperti yang sering kita jumpai pada Remote Control TV ataupun Remote Control perangkat elektronik lainnya.
Bentuk LED mirip dengan sebuah bohlam (bola lampu) yang kecil dan dapat dipasangkan dengan mudah ke dalam berbagai perangkat elektronika. Berbeda dengan Lampu Pijar, LED tidak memerlukan pembakaran filamen sehingga tidak menimbulkan panas dalam menghasilkan cahaya. Oleh karena itu, saat ini LED (Light Emitting Diode) yang bentuknya kecil telah banyak digunakan sebagai lampu penerang dalam LCD TV yang mengganti lampu tube.
- Light Emitting Code (LED)
Simbol dan Bentuk LED (Light Emitting Diode)
Cara Kerja LED (Light Emitting Diode)
Seperti dikatakan sebelumnya, LED merupakan keluarga dari Dioda yang terbuat dari Semikonduktor. Cara kerjanya pun hampir sama dengan Dioda yang memiliki dua kutub yaitu kutub Positif (P) dan Kutub Negatif (N). LED hanya akan memancarkan cahaya apabila dialiri tegangan maju (bias forward) dari Anoda menuju ke Katoda.
LED terdiri dari sebuah chip semikonduktor yang di doping sehingga menciptakan junction P dan N. Yang dimaksud dengan proses doping dalam semikonduktor adalah proses untuk menambahkan ketidakmurnian (impurity) pada semikonduktor yang murni sehingga menghasilkan karakteristik kelistrikan yang diinginkan. Ketika LED dialiri tegangan maju atau bias forward yaitu dari Anoda (P) menuju ke Katoda (K), Kelebihan Elektron pada N-Type material akan berpindah ke wilayah yang kelebihan Hole (lubang) yaitu wilayah yang bermuatan positif (P-Type material). Saat Elektron berjumpa dengan Hole akan melepaskan photon dan memancarkan cahaya monokromatik (satu warna).
LED atau Light Emitting Diode yang memancarkan cahaya ketika dialiri tegangan maju ini juga dapat digolongkan sebagai Transduser yang dapat mengubah energi listrik menjadi energi cahaya
Seperti dikatakan sebelumnya, LED merupakan keluarga dari Dioda yang terbuat dari Semikonduktor. Cara kerjanya pun hampir sama dengan Dioda yang memiliki dua kutub yaitu kutub Positif (P) dan Kutub Negatif (N). LED hanya akan memancarkan cahaya apabila dialiri tegangan maju (bias forward) dari Anoda menuju ke Katoda.
LED terdiri dari sebuah chip semikonduktor yang di doping sehingga menciptakan junction P dan N. Yang dimaksud dengan proses doping dalam semikonduktor adalah proses untuk menambahkan ketidakmurnian (impurity) pada semikonduktor yang murni sehingga menghasilkan karakteristik kelistrikan yang diinginkan. Ketika LED dialiri tegangan maju atau bias forward yaitu dari Anoda (P) menuju ke Katoda (K), Kelebihan Elektron pada N-Type material akan berpindah ke wilayah yang kelebihan Hole (lubang) yaitu wilayah yang bermuatan positif (P-Type material). Saat Elektron berjumpa dengan Hole akan melepaskan photon dan memancarkan cahaya monokromatik (satu warna).
LED atau Light Emitting Diode yang memancarkan cahaya ketika dialiri tegangan maju ini juga dapat digolongkan sebagai Transduser yang dapat mengubah energi listrik menjadi energi cahaya
Status logika Pengertian logis, benar atau salah, dari sinyal biner yang diberikan. Sinyal biner adalah sinyal digital yang hanya memiliki dua nilai yang valid. Dalam istilah fisik, pengertian logis dari sinyal biner ditentukan oleh level tegangan atau nilai arus sinyal, dan ini pada gilirannya ditentukan oleh teknologi perangkat. Dalam sirkuit TTL, misalnya, keadaan sebenarnya diwakili oleh logika 1, kira-kira sama dengan +5 volt pada garis sinyal; logika 0 kira-kira 0 volt. Tingkat tegangan antara 0 dan +5 volt dianggap tidak ditentukan.
Motor DC Terdapat dua bagian utama pada sebuah Motor Listrik DC, yaitu Stator dan Rotor. Stator adalah bagian motor yang tidak berputar, bagian yang statis ini terdiri dari rangka dan kumparan medan. Sedangkan Rotor adalah bagian yang berputar, bagian Rotor ini terdiri dari kumparan Jangkar. Dua bagian utama ini dapat dibagi lagi menjadi beberapa komponen penting yaitu diantaranya adalah Yoke (kerangka magnet), Poles (kutub motor), Field winding (kumparan medan magnet), ArmatureWinding (Kumparan Jangkar), Commutator (Komutator)dan Brushes (kuas/sikat arang).
Pada prinsipnya motor listrik DC menggunakan fenomena elektromagnet untuk bergerak, ketika arus listrik diberikan ke kumparan, permukaan kumparan yang bersifat utara akan bergerak menghadap ke magnet yang berkutub selatan dan kumparan yang bersifat selatan akan bergerak menghadap ke utara magnet. Saat ini, karena kutub utara kumparan bertemu dengan kutub selatan magnet ataupun kutub selatan kumparan bertemu dengan kutub utara magnet maka akan terjadi saling tarik menarik yang menyebabkan pergerakan kumparan berhenti
Untuk menggerakannya lagi, tepat pada saat kutub kumparan berhadapan dengan kutub magnet, arah arus pada kumparan dibalik. Dengan demikian, kutub utara kumparan akan berubah menjadi kutub selatan dan kutub selatannya akan berubah menjadi kutub utara. Pada saat perubahan kutub tersebut terjadi, kutub selatan kumparan akan berhadap dengan kutub selatan magnet dan kutub utara kumparan akan berhadapan dengan kutub utara magnet. Karena kutubnya sama, maka akan terjadi tolak menolak sehingga kumparan bergerak memutar hingga utara kumparan berhadapan dengan selatan magnet dan selatan kumparan berhadapan dengan utara magnet. Pada saat ini, arus yang mengalir ke kumparan dibalik lagi dan kumparan akan berputar lagi karena adanya perubahan kutub. Siklus ini akan berulang-ulang hingga arus listrik pada kumparan diputuskan.
Voltmeter
Volt meter DC merupakan alat ukur yang berfungsi untuk mengetahui beda potensial tegangan DC antara 2 titik pada suatu beban listrik atau rangkaian elektronika.
Ground
Ground Berfungsi sebagai untuk meniadakan beda potensial dengan mengalirkan arus sisa dari kebocoran tegangan atau arus pada rangkaian
Baterai

- Generator DC
Generator DC merupakan sebuah perangkat mesin listrik dinamis yang mengubah energi mekanis menjadi energi listrik. Generator DC menghasilkan arus DC / arus searah. Generator DC dibedakan menjadi beberapa jenis berdasarkan dari rangkaian belitan magnet atau penguat eksitasinya terhadap jangkar (anker), jenis generator DC yaitu: |
|
Bagian yang harus menjadi perhatian untuk perawatan secara rutin adalah sikat arang yang akan memendek dan harus diganti secara periodic / berkala. Komutator harus dibersihkan dari kotoran sisa sikat arang yang menempel dan serbuk arang yang mengisi celah-celah komutator, gunakan amplas halus untuk membersihkan noda bekas sikat arang. Prinsip Kerja generator DC Prinsip kerja suatu generator arus searah berdasarkan hukum Faraday : Dengan lain perkataan, apabila suatu konduktor memotong garis-garis fluksi magnetik yang berubah-ubah, maka GGL akan dibangkitkan dalam konduktor itu. Jadi syarat untuk dapat dibangkitkan GGL adalah :
|
![]() |
| Prinsip Kerja Generator DC |
Keterangan gambar :
|
Untuk menentukan arah arus pada setiap saat, berlaku pada kaidah tangan kanan :
|
PERCOBAAN[KEMBALI]
Prosedur Percobaan
- siapkan alat dan bahan
- gunakan aplikasi proteus untuk membuat rangkaiaannya
- susun semua komponen sesuai dengan gambar
Prinsip rangkaiaan
Pada masa penanaman bibit, kelembaban tanah harus di perhatikan karena jika kelembaban dibawah 20 persen tanaman akan layu dan mati maka sensor soil moisture akan menghidupkan kran air ketika kelembababn berada pada 40 persen dan kran mati ketika kelembaban mencapai 60 persen sehiingga tanah tidak akan terlalu lembab atau pun kering
Pada masa pembibitan pula banyak hama pengganggu mulai dari tumnuhan atau pun serangga sehingga petani habya perlu menyemprotkan insektisida dan peptisida yang ada ketika sudah mualai ada tanda2 hama datang
Pada masa panen, bawang yang telah siap dipanen harus dijemur dan dikipasi agar bawang tidak cepat busuk jadi diperlukan cahaya dan abgin yang cukup untuk bawang maka sensor ldr akan membuat penjemuran secara otomatis jika saat siang hari tiba dan ketika malam hari ointu akan ter tutup penjemuran diganti mengunakan lampu dan saat hujan terjadi rain sensor akan mendeteksinya dan atap yg fi buka untuk menjemur bawang akan tertutup secara otomatis
Bawang yang sudah dijemur akan dikemas kedalam packing yang berisi 8 buah umbi bawang untuk tiap packnya sehibgga diperlukan sesor ldr untuk medeteksi bawang dan ketika sudah terhitung 8 kali buzer akan berbunyi dan sound sensor akan mereset perhitungan dan motor dc untuk packing aktif
Gambar rangkaiaan
VIDEO[KEMBALI]
LINK DOWNLOAD[KEMBALI]
- Download HTML disini
- Download Gambar Rangkaiaan disini
- Download Video Percobaan disini
- Download Data Sheet Resistor klik disini
- Download Data Sheet Dioda 1N4001 klik disini
- Download Data Sheet Transistor klik disini
- Download Data Sheet Relay klik disini
- Download Data Sheet LED klik disini
- Download Data Sheet Motor DC klik disini
- Download Data Sheet Potensiometer klik disini
- Download Data Sheet Decoder 7447 [klik disini]
- Download Data Sheet Encoder IC 74147 klik disini
- Download Data Sheet Seven Segment [klik disini]
- Download Datasheet Sensor Rain klik disini
- Download Data Sheet APDS-9002 Klik Disini
- Download DATA SHEET SOUND SENSOR
- datashet moisture sensor klik disini
- Download Data sheet Touch Sensor klik disini
- Download Data Sheet Sensor Infrared klik disini
- Download File Library Moisture sensor disini
- Download File Library Touch Sensor klik disini
- Download File Library Sensor Infrared klik Disini
- Download Library Sensor Rain klik disini
- Download LIBRARY SENSOR SOUND

.png)











































Tidak ada komentar:
Posting Komentar